Coquilles, Oregon, USA.

Address : off of Gateway RD, Coquille, OR 97423
ZIP : 97423
City : Coquille
counrty :
Area : realestate
MLS: 7016994
Type: Land
Zip: 97423
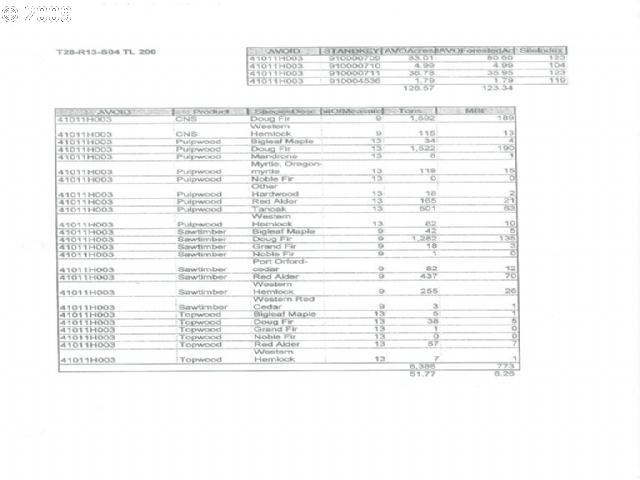
Description: Coquille ,Oregon ! ( Fat Elk Area) 127 acres approximately 3.5 miles West on State Hwy 42-S. . Zoned forest .There is very little merch timber on this tract of land.Some scattered small saw logs and pulp. The majority of the stands are 20-21 years old and about 15 years out fro standard merch timber harvest.
This time there's no stopping us. Straightnin' the curves. Flatnin' the hills Someday the mountain might get ‘em but the law never will. The weather started getting rough - the tiny ship was tossed.
© 2026 Realtor. All rights reserved